Kumpulan Rumus Matematika SD, SMP & SMA Terlengkap

MYBLOG.GENIUSBGT.COM – Inilah deretan rumus matematika SD, SMP dan SMA yang paling sering digunakan dalam pelajaran. Menggunakan rumus matematika untuk mengerjakan soal matematika wajib hukumnya. Pasalnya soal matematika kelas 4, kelas 5 dan kelas 6 para siswa dan siswi sering lupa dan sulit untuk menghafalkanya. Untuk itu laman myblog.geniusbgt.com akan memberikan sedikit solaknusi cara mengerjakan soal matematika dan jawabanya dengan mengenal kumpulan rumus matematika lengkap dengan keterangnya.
Siswa SMP pada dasarnya adalah melanjutkan mata pelajaran SD, dimana pelajaran Matematika menjadi salah satu pelajaran paling sering dihindari karena selalu berkelut dengan hitungan angka. Dengan mengetahui rumus-rumus Matematika ini, siswa maupun siswa akan lebih muda mengerjakan soal-soal matematika. Yang terpenting adalah, saat mengerjakan soal matematika yakni sering-seringnya melatih dan mengerjakan soal matematika, baik itu dari buku pelajaran atau yang diberikan oleh guru dan pembimbing.
Manfaat belajar matematika ini sebenarnya ada banyak yang mungkin belum diketahui oleh siswa dan siswi. Saat menginjak SMA sederajat, pelajaran matematika akan lebih meningkat ilmu dan pengetahuanya. Cara mengerjakan soal matematika juga berbeda tergantung soal dan pertanyaanya. Mulai dari Rumus Matematika Kecepatan, Rumus Debit, Rumus Skala, Rumus Keliling dan Luas Bangun Datar, Rumus Luas Permukaan dan Volume Bangun Ruang, Rumus Barisan dan Deret Aritmatika, Rumus Barisan dan Deret Geometri dan Rumus Peluang.
Pertama akan kami sampaikan beberapa rumus MTK SD, yang sering digunakan dalam materi Matematika SD kelas 5 ada banyak. Mulai dari rumus matematika kecepatan, debit, skala hingga rumus bangun datar.
Pelajari Juga :
- Materi Pelajaran Bahasa Indonesia
- Materi Pelajaran Bahasa Inggris
- Materi Pelajaran Bahasa Jawa
- Materi Pelajaran Biologi
- Materi Pelajaran Ekonomi
Berikut adalah kumpulan rumus matematika SD yang sering disampaikan oleh guru.
Rumus Matematika Kecepatan
Berikut adalah kumpulan rumus matematika SD seputar kecepatan yang sering disampaikan oleh guru.
Rumus Debit
Berikut ini adalah Rumus Matematika SD yang serng dipelajari saat memasuki kelas 5-6 SD seputar materi Debit dan Volume.
Rumus Skala
Masih seputar Rumus Matematika SD yang membahas mengenai Skala. Pelajaran ini akan diberikan saat siswa dan siswi duduk di kelas 5 SD. Pelajaran Skala akan sangat menyenangkan sebab murid mulai belajar banyak hal mulai menghitung skala peta, mengukur jarak, sehingga harus lebih teliti dan sabar saat mengerjakanya.
Rumus Keliling dan Luas Bangun Datar
Berikut ini telah kami rangkum beberapa rumus yang akan siswa dan siswi jumpai saat duduk dibangku SD, SMP hingga SMA sederajat yaitu mempelajari bangun datar.
1. Rumus Keliling Bangun Datar
- Rumus Keliling Bangun Datar
- Keliling persegi = 4 x s
- Keliling persegi panjang = (2 x p) + (2 x l)
- Keliling jajar genjang = 2a + 2b
- Keliling segitiga = a + b + c
- Keliling belah ketupat = 4 x s
- Keliling layang – layang = 2a + 2b
- Keliling trapesium = a + b + c + d
- Keliling lingkaran = 2 x π x r
2. Rumus Luas Bangun Datar
- Persegi = s x s
- Persegi panjang = p x l
- Jajaran genjang = a x t
- Segitiga = 1/2 x a x t
- Belah ketupat = 1/2 x d1 x d2
- Layang-layang = 1/2 x d1 x d2
- Trapesium = (a+b) / 2 x t
- Lingkaran = π x r x r
Rumus Luas Permukaan dan Volume Bangun Ruang
Berikut adalah deretan luas dan volume bangun ruang kubus, balok, tabung, kerucut, limas segi tiga, limas segi empat, bola, dan prisma dalam bentuk tabel.
1. Rumus Luas dan Volume Kubus
| Nama | Rumus Kubus |
| Volume (V) | V = s × s × s |
| V = s³ | |
| Luas permukaan (L) | L = 6 × s × s |
| L = 6 × s² | |
| Sisi rusuk (s) | Rumus sisi kubus jika diketahui volume |
| Rumus sisi kubus diketahui luas permukaan | |
| Diagonal sisi (ds) | rumus diagonal sisi kubus |
| Diagonal ruang (dr) | rumus diagonal ruang kubus |
| Luas bidang diagonal (bd) | rumus bidang diagonal sisi kubus |
| Keterangan: s = sisi kubus | |
Pelajari juga:
2. Rumus Luas dan Volume Balok
| Nama | Rumus |
| Volume (V) | V = p × l × t |
| Luas Permukaan (L) | L = 2 × (p.l + p.t +l.t) |
| Panjang (p) | p = V ÷ l ÷ t |
| rumus panjang balok jika diketahui luas permukaan lebar dan tinggi | |
| Lebar (l) | l = V ÷ p ÷ t |
| rumus lebar balok jika diketahui luas permukaan | |
| Tinggi (t) | t = V ÷ p ÷ l |
| rumus tinggi balok jika diketahui luas permukaan | |
| Diagonal bidang atau sisi (ds) | panjang diagonal bidang balok |
| Diagonal ruang (dr) | diagonal ruang balok |
| Luas bidang diagonal (bd) | rumus luas bidang diagonal balok |
Keterangan:
t = tinggi
p = panjang
l = lebar
3. Rumus Luas dan Volume Tabung
| Nama | Rumus |
| Volume (V) | V = π × r × r × t |
| V = π × r² × t | |
| Luas Permukaan (L) | L = 2 × π × r × (r + t) |
| Luas Selimut (Ls) | Ls = 2 × π × r × t |
| Ls = π × d × t | |
| Luas alas (La) | La = π × r × r |
| luas tanpa tutup | rumus luas tanpa tutup |
| Jari-jari (r) diketahui Volume | Rumus jari-jari tabung diketahui volume |
| Jari-jari (r) diketahui Luas Selimut | Rumus jari-jari tabung diketahui selimut |
| Jari-jari (r) diketahui Luas Permukaan | Rumus jari-jari tabung diketahui luas |
| Tinggi (t) diketahui Volume | rumus tinggi tabung diketahui volume |
| Tinggi (t) diketahui Luas Selimut | tinggi tabung diketahui selimut tabung |
| Tinggi (t) diketahui Luas Permukaan | Rumus tinggi tabung jika diketahui luas permukaan |
Keterangan :
t = tinggi
jari-jari (r) = d÷2
diameter (d) = 2×r
π = 22/7 untuk jari-jari kelipatan 7 dan 3,14 untuk jari-jari bukan kelipatan 7
4. Rumus Luas dan Volume Kerucut
Simak juga :
Keterangan:
t = tinggi
r = jari-jari
s = panjang garis pelukis (apotema), merupakan garis yang menghubungkan titik puncak dengan titik keliling alas kerucut.
Nilai s dapat dihitung menggunakan rumus Pythagoras.
5. Rumus Luas dan Volume Limas Segi Tiga
| Nama | Rumus |
| Volume (V) | V = ⅓ × La × t |
| V = ⅓ × (½ × as × ts) × t | |
| Luas Permukaan (L) | L = L alas + L ΔI + L ΔII + L ΔIII |
| Tinggi (t) | rumus tinggi limas segitiga |
| Alas segitiga alas (as) | Rumus alas segitiga pada Limas segitiga |
| Tinggi segitiga alas (ts) | tinggi segitiga alas |
| Luas Alas (La) | La = ½ × as × ts |
| Luas ΔI | L ΔI = ½ × a Δ1 × t Δ1 |
| Luas ΔII | L ΔII = ½ × a Δ2 × t Δ2 |
| Luas ΔIII | L ΔIII = ½ × a Δ3 × t Δ3 |
Keterangan :
t = tinggi limas (PO)
as = alas segitiga (AB)
ts = tinggi segitiga alas (DC)
t1, t2, t3 = tinggi masing-masing bidang tegak
a1, a2, a3 = alas masing-masing bidang tegak
6. Rumus Luas dan Volume Limas Segi Empat
| Rumus Limas Segi Empat | |
| Nama | Rumus |
| Volume (V) | V = ⅓ × L alas × t |
| Luas Permukaan (L) | L = L alas + L ΔI + L ΔII + L ΔIII + L ΔIV |
| Tinggi | t = (3 × V) ÷ L alas |
| Luas Alas Limas Segi Empat | |
| Jenis Alas | Luas Alas (La) |
| Alas Persegi | La = s × s |
| Alas Persegi Panjang | La = p × l |
| Alas Jajar Genjang | La = a × t |
| Alas Trapesium | Rumus Luas Trapesium |
| Alas Belah Ketupat | La = ½ × d1 × d2 |
| Alas Layang-Layang | La = ½ × d1 × d2 |
| Luas Sisi Tegak Limas Segi Empat | |
| Sisi Tegak | Luas |
| Luas ΔI | L ΔI = ½ × a Δ1 × t Δ1 |
| Luas ΔII | L ΔII = ½ × a Δ2 × t Δ2 |
| Luas ΔIII | L ΔIII = ½ × a Δ3 × t Δ3 |
| Luas ΔIV | L ΔIII = ½ × a Δ4 × t Δ4 |
7. Rumus Luas dan Volume Bola
| Nama | Rumus |
| Volume (V) | V = 4/3 × π × r³ |
| Luas Permukaan (L) | L = 4 × π × r² |
| Jari-jari (r) diketahui V | rumus jari-jari bola jika diketahui volume bola |
| Jari-jari (r) diketahui L | rumus jari-jari bola jika diketahui Luas bola |
Keterangan :
jari-jari (r) = d÷2
diameter (d) = 2×r
π = 22/7 untuk jari-jari kelipatan 7 dan 3,14 untuk jari-jari bukan kelipatan 7
8. Rumus Luas dan Volume Prisma
| Nama | Rumus |
| Volume (V) | V = Luas alas × t |
| tinggi (t) jika diketahui V | t = V ÷ Luas Alas |
| Luas Permukaan (L) | L = t × ( a1 + a2 + … + an) + (2 × La) |
| L = t × (Keliling Alas) + (2 × La) | |
| ∴ Luas Prisma Segi-3 | L = t × ( a1 + a2 + a3) + (2 × La) |
| ∴ Luas Prisma Segi-4 | L = t × ( a1 + a2 + a3 + a4) + (2 × La) |
| ∴ Luas Prisma Segi-5 | L = t × ( a1 + a2 + a3 + a4 + a5) + (2 × La) |
| ∴ Luas Prisma Segi-6 | L = t × ( a1 + a2 + a3 + a4 + a5 + a6) + (2 × La) |
| Luas Alas (La) | Disesuaikan dengan bentuk prisma |
Keterangan :
t = tinggi prisma
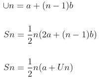
La = luas alasRumus Barisan dan Deret Aritmatika
Rumus Barisan dan Deret Aritmatika
Keterangan:
a = suku pertama
b = beda atau selisih antar suku
n = banyaknya suku
Un = suku ke-n
Sn = jumlah suku pertama sampai suku ke-n
Rumus Barisan dan Deret Geometri
Selanjutnya mari kita pelajari mengenai beberapa rumus barisan dan deret geometri yang bisa siswa dan siswi pelajari dibawah ini.
Keterangan :
a = suku pertama
r = rasio antar suku
n = banyaknya suku
Un = suku ke-n
Sn = jumlah suku pertama sampai suku ke-n
Rumus Peluang
Terakhir, akan kami sampaikan mengenai beberapa rumus peluang yang menjadi salah soal cerita menarik untuk siswa siswi pelajari dengan seksama.
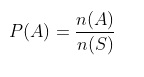
1. Peluang Suatu Kejadian
Keterangan :
P(A) = peluang dari kejadian A
n(A) = banyak anggota A
n(S) = banyak anggota ruang sampel
2. Peluang Gabungan Dua Kejadian
Saat siswa dan siswi menemui soal ini berkaitan dengan kejadian. Diketahui A dan B merupakan dua kejadian berbeda, Kemudian terjadilan peluang kejadian A∪B dengan rumus dibawah :
P(A∪B)=P(A)+P(B)-P(A∩B)
3. Peluang Kejadian Saling Lepas
Berikut adalah rumus kejadian saling lepas yang bisa dituliskan dalam bentuk : P(A∪B)=P(A) X P(B).
4. Peluang Kejadian Saling Bebas
Berikut adalah rumus kejadian saling bebas yang bisa dituliskan dalam bentuk : P(A∩B)=P(A) X P(B)
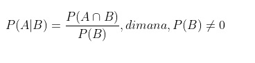
5. Peluang Kejadian Bersyarat
Terakhir ada rumus peluang kejadian bersyarat dimana kejadian A dengan syarat kejadian B yang bisa dituliskan dalam bentuk dibawah ini.
Baca juga:
Demikianlah materi tentang kumpulan rumus Matematika SD, SMP, dan SMA lengkap dengan keterangannya. Harapanya dengan adanya rumus matematika diatas akan mempermudah siswa dan siswi dalam mengerjakan soal matematika dan menemukan jawabanya.









