Pengertian Gerak Melingkar Beraturan, Rumus, Ciri, Jenis dan Contoh

Pengertian Gerak Melingkar Beraturan, Rumus, Ciri, Jenis dan Contoh. Materi tentang GMB ( Gerak Melingkar Beraturan) lengkap dengan contoh gerak melingkar dan juga ciri-cirinya. Kemudian myblog.geniusbgt.com akan bahas juga mengenai rumus garis melingkat beraturan lengkap dengan jenis-jenisnya. Sebelum menuju ke ke pembahasan diri-ciri gerak melingkar beraturan kita perlu perjelas dulu apa itu arti gerak melingkar beraturan yang akan kita bahas di sub awal. Materi tentang gerak lingkar ini akan dibahas secara singkat dan jelas agar mudah di pahami.
Adapun arti gerak melingkar berubah beraturan sudah kita bahas pada materi sebelumnya jadi tidak perlu risau mencari materi tersebut. Untuk sobat pelajar yang masih duduk dibangku SMP dan sederajat mungkin materi gerak melingkar ini akan diajarkan sebab berkaitan dengan soal latihan dan ujian. Nah, soal dan pembahasan gerak melingkar pdf bisa di download juga di internet.
Sebagai pelajar tentu wajib menambah ilmu pengetahuan jadi sobat perlu juga memahami materi ini dengan baik, sobat rumuspelajaran harus memahami terlebih dahulu apa itu Gerak Lurus dan juga Hukum Newton. Pada kesempatan sebelumnya MYBLOG.GENIUSBGT.COM telah menulis materi arti segitiga secara umum lengkap dengan sifat, unsur dan rumus segitiga serta materi pertidaksamaan nilai mutlak lengkap dengan materi penunjang seperti rumus pertidaksamaan, sifat dan jenisnya. Baiklah sekarang akan kita bahas langsung arti gerak melingkar beraturan lengkap dengan ciri-ciri, rumus, jenis dan contoh gerak melingkar beraturan dibawha ini.
Pengertian Gerak Melingkar Beraturan
Definisi Gerak Melingkar merupakan gerak suatu benda yang membentuk lintasan berupa lingkaran mengelilingi suatu titik tetap.
Kemudian Agar suatu benda dapat bergerak melingkar benda tersebut harus membutuhkan adanya gaya yang selalu membelokkan-nya menuju pusat lintasan lingkaran.
Lalu apa itu gaya sentripetal merupakan suatu gerak melingkar beraturan dapat dikatakan sebagai suatu gerak dipercepat beraturan, mengingat perlu adanya suatu percepatan yang besarnya tetap dengan arah yang berubah, yang selalu mengubah arah gerak benda agar menempuh lintasan berbentuk lingkaran.
Adapun besaran gerak melingkar itu adalah sebuat besaran-besaran yang mengartikan suatu gerak melingkar maupun berturur-turut berarti sudut, kecepatan sudut dan percepatan sudut. Kemudian Besaran-besaran tersebut bila dianalogikan dengan gerak linier setara dengan posisi, kecepatan dan percepatan atau dilambangkan berturut-turut dengan r,v dan a.

Gerak Melingkar berubah beraturan
Gerak Melingkar Berubah Beraturan (GMBB) adalah gerak melingkar dengan percepatan sudut tetap. Dalam gerak ini terdapat percepatan tangensial (yang dalam hal ini sama dengan percepatan linier) yang menyinggung lintasan lingkaran (berhimpit dengan arah kecepatan tangensial ). vT
Percepatan Anguler (α)
Sebuah benda bergerak melingkar dengan laju anguler berubah beraturan memiliki perubahan kecepatan angulernya adalah :

Dan perubahan waktu kecepatan anguler adalah Δt, maka di dapatkan

Sama halnya dengan Gerak Lurus Berubah Beraturan (GLBB), pada GMBB berlaku juga :
Percepatan Tangensial (at)
Pada gerak melingkar berubah beraturan selain percepatan sentripetal (as) juga mempunyai percepatan tangensial (at).

Ciri Gerak Melingkar Beraturan
Nah, selanjutnya kami berikan apa saja ciri-ciri gerak melingkar beraturan:
1. Besar kelajuan linearnya tetap
2. Besar kecepatan sudutnya tetap
3. Besar percepatan sentripetalnya tetap
4. Lintasannya berupa lingkaran
Pelajari juga:
- Pengertian Tenaga Nuklir, Sejarah, Jenis, Manfaat, Keuntungan dan Contoh
- Apa itu Cermin Cembung, Rumus, Sifat, Sinar Istimewa, Fungsi, Efek, Sifat Bayangan dan Contoh Soal
Contoh Gerak Melingkar Beraturan
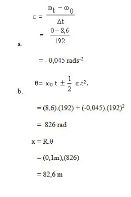
Sebuah roda motor sedang berputar dengan kecepatan sudut 8,6 rad/s.
Suatu gesekan kecil pada poros putaran menyebabkan suatu perlambatan sudut tetap kemudian akhirnya berhenti dalam waktu 192 s.
Pertanyaan:
- Percepatan sudut
- Jarak yang telah ditempuh roda dari mulai bergerak sampai berhenti (jari-jari roda 20 cm)
Pembahasan :
Diketahui :
ω0= 8,6 rad/s
ωt = 0 rad/s
t = 192 s
R = 10cm= 0,1 m
Ditanya :
a. @
b. x
Jawaban:

Demikianlah materi tentang Gerak Melingkar Beraturan, Berubah, Ciri, Bentuk dan Contohnya, semoga bermanfaat ya sobat rumuspalajaran.com, Tambah ilmu pengetahuanmu dengan mempelajari materi tentang manfaat keanekaragaman hayati dan juga definisi pertumbuhan yang telah kami sajikan di halaman lainnya.




